Задания
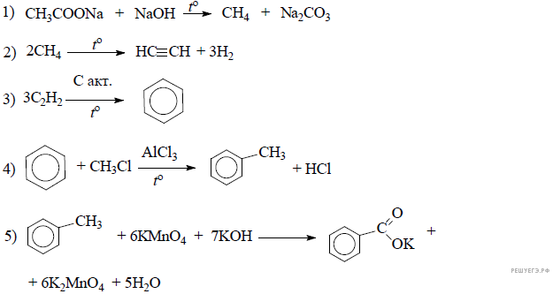
Версия для печати и копирования в MS WordНапишите уравнения реакций, с помощью которых можно осуществить следующие превращения:
При написании уравнений реакций используйте структурные формулы органических веществ.
Решение.
Спрятать критерииЭлементы ответа:
Напишем уравнения реакций, соответствующих схеме превращений.

