Тип 33 № 24456 

Раздел кодификатора ФИПИ: 5.8 Нахождение молекулярной формулы органического вещества по его плотности и массовым долям элементов, входящих в его состав, или по продуктам сгорания
Нахождение молекулярной формулы вещества. Задания для подготовки. Часть 2
i
При сжигании 3,65 г органической кислоты образовалось 3,36 л (н. у.) углекислого газа и 2,25 г воды. При сплавлении калиевой средней соли этой кислоты с гидроксидом калия образуется углеводород разветвленного строения. Определите молекулярную формулу кислоты и установите ее структуру, если известно, что в ее молекуле только один третичный атом углерода. Напишите уравнение взаимодействия соли кислоты со щелочью.
Спрятать решениеРешение. 1. Определена молекулярная формула органического вещества:






Простейшая формула —
Нечетное число атомов водорода в кислородсодержащем соединении невозможно, поэтому умножаем простейшую формулу на два. Молекулярная формула вещества — 
2. Формула
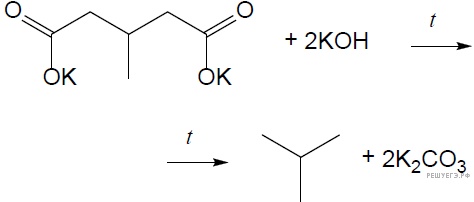
соответствует предельной двухосновной кислоте. При декарбоксилировании ее калиевой соли образуется углеводород
разветвленного строения, это изобутан,
Три двухосновные кислоты могут дать при декарбоксилировании изобутан, но только одна из них содержит третичный атом углерода, это 3-метилпентандиовая:

3. Уравнение реакции сплавления калиевой соли со щелочью:
Спрятать критерииКритерии проверки:| Критерии оценивания выполнения задания | Баллы |
|---|
| Ответ правильный и полный, содержит следующие элементы: — правильно произведены вычисления, необходимые для установления молекулярной формулы вещества, и записана молекулярная формула вещества; — записана структурная формула органического вещества, которая отражает порядок связи и взаимное расположение заместителей и функциональных групп в молекуле в соответствии с условием задания; — с использованием структурной формулы органического вещества записано уравнение реакции, на которую дается указание в условии задания | 3 |
| Правильно записаны два элемента ответа | 2 |
| Правильно записан один элемент ответа | 1 |
|
| Все элементы ответа записаны неверно | 0 |
| Максимальный балл | 3 |
Раздел кодификатора ФИПИ: 5.8 Нахождение молекулярной формулы органического вещества по его плотности и массовым долям элементов, входящих в его состав, или по продуктам сгорания